北大韦神出题初二学生给出标准答案,广东学生破解
出题者是北京大学数学科学学院研究员,第49届、第50届国际数学奥林匹克竞赛满分金牌得主北大“韦神”韦东奕,
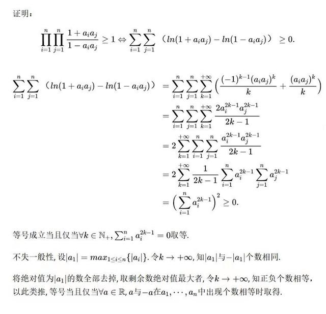
广东初二学生给出标准答案
截至目前,已有近百位读者提交了解答。出题人韦东奕从中挑选了三份作为“较好的解答举例”。据韦东奕介绍,本题的解答线索只有一个,因此他挑选出来的三份解答相似度高,均可以作为标准答案来使用。
韦东奕表示:“其中有一位初中二年级的同学,给出了简洁、完备的答案,令人欣喜!”据深圳中学消息,这位同学便是来自该校的王羿骁。


深圳中学的阮中楠老师表示:“王羿骁同学观察到对题目的连乘式取对数后用Taylor级数展开,可以消去级数的偶次项,并通过交换求和顺序将奇次项配成完全平方和,从而证明其非负,最后对于等号成立条件的讨论简洁而严谨,展现了他敏锐的代数直观和熟练的代数技巧。”
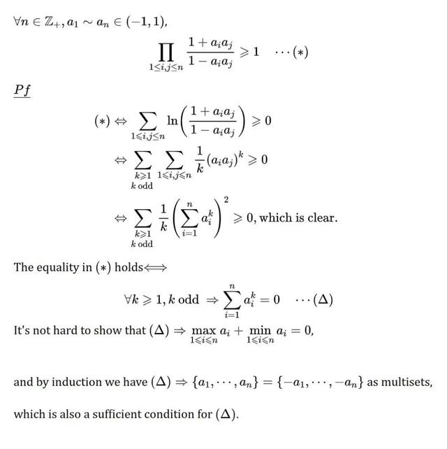
另外两个解答案
解答1(答题人来自国内某大学)
解答2(答题人来自海外某大学)

GPT-4挑战失败
看到这里,你会不会有个疑问:最近火爆全球的GPT-4,能不能解答“韦神”出的题目呢?下面是北京国际数学研究中心老师们测试的结果。
在解答有挑战的数学问题上,人类大脑和AI表现有何差异?
中国科学院院士、北京大学数学科学学院教授、北京国际数学研究中心主任田刚分析,目前看来,在“解答有挑战的数学问题”这个任务上,人类大脑具有优势。但是随着AI不断升级更新,这种优势能在多大程度上保持呢?年轻一代将肩负起探寻这一问题答案的重任。
上一篇:青春环游记4更新时间什么时候播出?青春环游记4嘉宾阵容
下一篇:网传乘风4初舞台排名汇总一览 乘风破浪4初舞台明星阵容
相关热词搜索:北大韦神出题初二学生给出标准答案 北京天气预报 旅游景点天气 上海天气预报15天 广州国际机场天气 卫星云图天气预报 天气预报降水分布